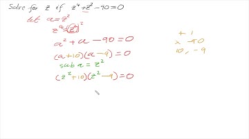
Complex linear and real quadratic factors of z^6 + 1 (Ch3 Pr72)

Tonton & Download Video Musik Gratis

⬇ DOWNLOAD NOW
Kalau muncul iklan pop-up, tutup lalu klik tombol kembali

Download lagu Complex linear and real quadratic factors of z^6 + 1 (Ch3 Pr72) secara gratis hanya untuk keperluan promosi. Dukung artis favorit kamu dengan membeli musik original di iTunes atau platform resmi lainnya.