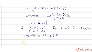
Write the vector equations of following lines and hence find the distance between them. (x-1)/2=....

Tonton & Download Video Musik Gratis

⬇ DOWNLOAD NOW
Kalau muncul iklan pop-up, tutup lalu klik tombol kembali

Download lagu Write the vector equations of following lines and hence find the distance between them. (x-1)/2=.... secara gratis hanya untuk keperluan promosi. Dukung artis favorit kamu dengan membeli musik original di iTunes atau platform resmi lainnya.