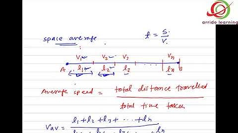
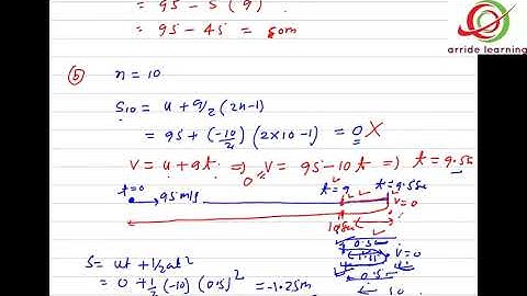
Rectilinear motion 07 / Kinematics / IIT JEE / NEET PHYSICS by SSI sir B. Tech. IIT Delhi

Tonton & Download Video Musik Gratis

⬇ DOWNLOAD NOW
Kalau muncul iklan pop-up, tutup lalu klik tombol kembali

Download lagu Rectilinear motion 07 / Kinematics / IIT JEE / NEET PHYSICS by SSI sir B. Tech. IIT Delhi secara gratis hanya untuk keperluan promosi. Dukung artis favorit kamu dengan membeli musik original di iTunes atau platform resmi lainnya.