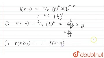
A coin is tossed 6 times. Find the probability of getting exactly 4 heads

Tonton & Download Video Musik Gratis

⬇ DOWNLOAD NOW
Kalau muncul iklan pop-up, tutup lalu klik tombol kembali

Download lagu A coin is tossed 6 times. Find the probability of getting exactly 4 heads secara gratis hanya untuk keperluan promosi. Dukung artis favorit kamu dengan membeli musik original di iTunes atau platform resmi lainnya.