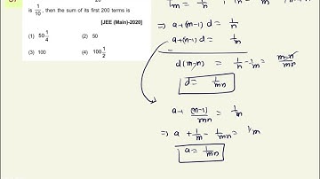
If the 10th term of A.P. is 1/20 and its 20th term is 1/10. then the sum of its first 200 terms is

Tonton & Download Video Musik Gratis

⬇ DOWNLOAD NOW
Kalau muncul iklan pop-up, tutup lalu klik tombol kembali

Download lagu If the 10th term of A.P. is 1/20 and its 20th term is 1/10. then the sum of its first 200 terms is secara gratis hanya untuk keperluan promosi. Dukung artis favorit kamu dengan membeli musik original di iTunes atau platform resmi lainnya.