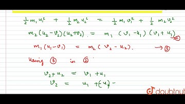
errorless physics questions||two equal masses m1 and m2 moving along the same straight line with ve

Tonton & Download Video Musik Gratis

⬇ DOWNLOAD NOW
Kalau muncul iklan pop-up, tutup lalu klik tombol kembali

Download lagu errorless physics questions||two equal masses m1 and m2 moving along the same straight line with ve secara gratis hanya untuk keperluan promosi. Dukung artis favorit kamu dengan membeli musik original di iTunes atau platform resmi lainnya.