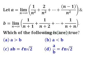
IIT-JAM II 2020 II INTEGRAL AS LIMIT OF SUM II

Tonton & Download Video Musik Gratis

⬇ DOWNLOAD NOW
Kalau muncul iklan pop-up, tutup lalu klik tombol kembali

Download lagu IIT-JAM II 2020 II INTEGRAL AS LIMIT OF SUM II secara gratis hanya untuk keperluan promosi. Dukung artis favorit kamu dengan membeli musik original di iTunes atau platform resmi lainnya.