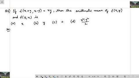
If f(x+y, x-y)=x y then the arithmetic mean of f(x, y) and f(x, y) is (a) x (b) y (c) 0 (d) none ...

Tonton & Download Video Musik Gratis

⬇ DOWNLOAD NOW
Kalau muncul iklan pop-up, tutup lalu klik tombol kembali

Download lagu If f(x+y, x-y)=x y then the arithmetic mean of f(x, y) and f(x, y) is (a) x (b) y (c) 0 (d) none ... secara gratis hanya untuk keperluan promosi. Dukung artis favorit kamu dengan membeli musik original di iTunes atau platform resmi lainnya.