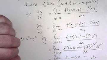
Using Definition / Partial Derivative / 3rd semester / Maths / #ctevt

Tonton & Download Video Musik Gratis

⬇ DOWNLOAD NOW
Kalau muncul iklan pop-up, tutup lalu klik tombol kembali

Download lagu Using Definition / Partial Derivative / 3rd semester / Maths / #ctevt secara gratis hanya untuk keperluan promosi. Dukung artis favorit kamu dengan membeli musik original di iTunes atau platform resmi lainnya.