Tonton & Download Video Musik Gratis
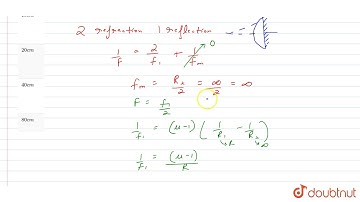
Download lagu A plano-convex lens is made of a material of refractive index n. When a small object is placed 30... secara gratis hanya untuk keperluan promosi. Dukung artis favorit kamu dengan membeli musik original di iTunes atau platform resmi lainnya.