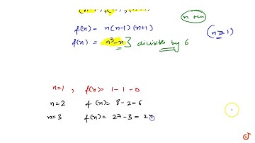
Prove that product of three consecutive positive integers is divisible by 6 | Class 10 maths chapter

Tonton & Download Video Musik Gratis

⬇ DOWNLOAD NOW
Kalau muncul iklan pop-up, tutup lalu klik tombol kembali

Download lagu Prove that product of three consecutive positive integers is divisible by 6 | Class 10 maths chapter secara gratis hanya untuk keperluan promosi. Dukung artis favorit kamu dengan membeli musik original di iTunes atau platform resmi lainnya.