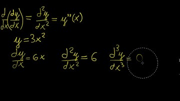
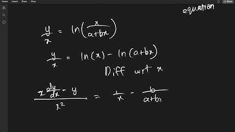
Higher Order Derivatives l DPP-5 l MHT-CET l IMPULSE BATCH

Tonton & Download Video Musik Gratis

⬇ DOWNLOAD NOW
Kalau muncul iklan pop-up, tutup lalu klik tombol kembali

Download lagu Higher Order Derivatives l DPP-5 l MHT-CET l IMPULSE BATCH secara gratis hanya untuk keperluan promosi. Dukung artis favorit kamu dengan membeli musik original di iTunes atau platform resmi lainnya.