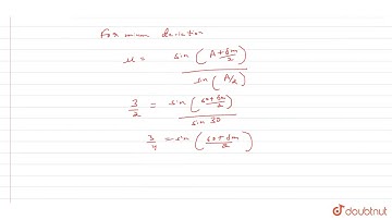
Refracting angle of a prism A=60^∘ and its refractive index is, n=3 / 2, what is the angle of inc...

Tonton & Download Video Musik Gratis

⬇ DOWNLOAD NOW
Kalau muncul iklan pop-up, tutup lalu klik tombol kembali

Download lagu Refracting angle of a prism A=60^∘ and its refractive index is, n=3 / 2, what is the angle of inc... secara gratis hanya untuk keperluan promosi. Dukung artis favorit kamu dengan membeli musik original di iTunes atau platform resmi lainnya.