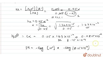
The ionization constant of propanoic acid is 1.32xx10^(-5). Calculate the degree of ionization o...

Tonton & Download Video Musik Gratis

⬇ DOWNLOAD NOW
Kalau muncul iklan pop-up, tutup lalu klik tombol kembali

Download lagu The ionization constant of propanoic acid is 1.32xx10^(-5). Calculate the degree of ionization o... secara gratis hanya untuk keperluan promosi. Dukung artis favorit kamu dengan membeli musik original di iTunes atau platform resmi lainnya.