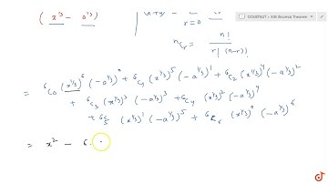
Using binomial theorem, write down the expansions of the following: ltmath gt ltmrow gt ltm

Tonton & Download Video Musik Gratis

⬇ DOWNLOAD NOW
Kalau muncul iklan pop-up, tutup lalu klik tombol kembali

Download lagu Using binomial theorem, write down the expansions of the following: ltmath gt ltmrow gt ltm secara gratis hanya untuk keperluan promosi. Dukung artis favorit kamu dengan membeli musik original di iTunes atau platform resmi lainnya.