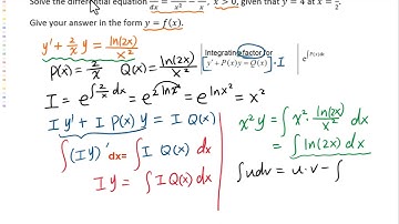
IB AAHL Topic 5 - Integrating Factor - Diff. Eqs.

Tonton & Download Video Musik Gratis

⬇ DOWNLOAD NOW
Kalau muncul iklan pop-up, tutup lalu klik tombol kembali

Download lagu IB AAHL Topic 5 - Integrating Factor - Diff. Eqs. secara gratis hanya untuk keperluan promosi. Dukung artis favorit kamu dengan membeli musik original di iTunes atau platform resmi lainnya.