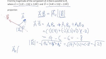
Vectors : - ( Component of one vector along and perpendicular to another vector ) - 27.

Tonton & Download Video Musik Gratis

⬇ DOWNLOAD NOW
Kalau muncul iklan pop-up, tutup lalu klik tombol kembali

Download lagu Vectors : - ( Component of one vector along and perpendicular to another vector ) - 27. secara gratis hanya untuk keperluan promosi. Dukung artis favorit kamu dengan membeli musik original di iTunes atau platform resmi lainnya.