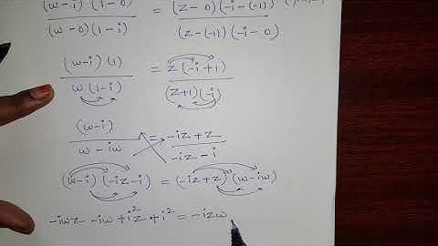
BILINEAR TRANSFORMATION-TYPE2 (ENGLISH) PART-II COMPLEX ANALYSIS POLYTECHNIC-TRB, PGTRB,NET,SET,MSC

Tonton & Download Video Musik Gratis

⬇ DOWNLOAD NOW
Kalau muncul iklan pop-up, tutup lalu klik tombol kembali

Download lagu BILINEAR TRANSFORMATION-TYPE2 (ENGLISH) PART-II COMPLEX ANALYSIS POLYTECHNIC-TRB, PGTRB,NET,SET,MSC secara gratis hanya untuk keperluan promosi. Dukung artis favorit kamu dengan membeli musik original di iTunes atau platform resmi lainnya.