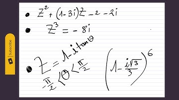
Résolution d'un exercice complet (Forme trigonométrique, Module, Argument & Relation de Moivre)

Tonton & Download Video Musik Gratis

⬇ DOWNLOAD NOW
Kalau muncul iklan pop-up, tutup lalu klik tombol kembali

Download lagu Résolution d'un exercice complet (Forme trigonométrique, Module, Argument & Relation de Moivre) secara gratis hanya untuk keperluan promosi. Dukung artis favorit kamu dengan membeli musik original di iTunes atau platform resmi lainnya.