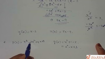
Divide the polynomial `p(x)` by the polynomial `g(x)` and find the | Class 10 Maths | Doubtnut

Tonton & Download Video Musik Gratis

⬇ DOWNLOAD NOW
Kalau muncul iklan pop-up, tutup lalu klik tombol kembali

Download lagu Divide the polynomial `p(x)` by the polynomial `g(x)` and find the | Class 10 Maths | Doubtnut secara gratis hanya untuk keperluan promosi. Dukung artis favorit kamu dengan membeli musik original di iTunes atau platform resmi lainnya.