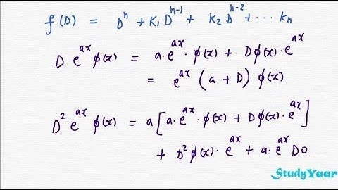
Linear Differential Equations with Constant Coefficients .Examples when X=sin(ax) or cos(ax).

Tonton & Download Video Musik Gratis

⬇ DOWNLOAD NOW
Kalau muncul iklan pop-up, tutup lalu klik tombol kembali

Download lagu Linear Differential Equations with Constant Coefficients .Examples when X=sin(ax) or cos(ax). secara gratis hanya untuk keperluan promosi. Dukung artis favorit kamu dengan membeli musik original di iTunes atau platform resmi lainnya.