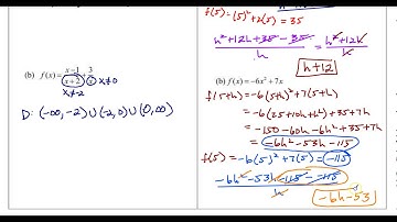
AP Precalculus Practice Test: Unit 1 Question #35 Doman and Range after a Transformation

Tonton & Download Video Musik Gratis

⬇ DOWNLOAD NOW
Kalau muncul iklan pop-up, tutup lalu klik tombol kembali

Download lagu AP Precalculus Practice Test: Unit 1 Question #35 Doman and Range after a Transformation secara gratis hanya untuk keperluan promosi. Dukung artis favorit kamu dengan membeli musik original di iTunes atau platform resmi lainnya.