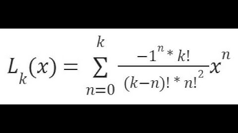
Laguerre Polynomials Taylor Maclaurin SERIESSUM LINEST Polynomial Regression Google Sheets Excel

Tonton & Download Video Musik Gratis

⬇ DOWNLOAD NOW
Kalau muncul iklan pop-up, tutup lalu klik tombol kembali

Download lagu Laguerre Polynomials Taylor Maclaurin SERIESSUM LINEST Polynomial Regression Google Sheets Excel secara gratis hanya untuk keperluan promosi. Dukung artis favorit kamu dengan membeli musik original di iTunes atau platform resmi lainnya.