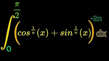
∫sinx^n dx)=-sinx^(n-1) cosx)/n + (n-1)/n I_(n-2) ∀ n≥2

Tonton & Download Video Musik Gratis

⬇ DOWNLOAD NOW
Kalau muncul iklan pop-up, tutup lalu klik tombol kembali

Download lagu ∫sinx^n dx)=-sinx^(n-1) cosx)/n + (n-1)/n I_(n-2) ∀ n≥2 secara gratis hanya untuk keperluan promosi. Dukung artis favorit kamu dengan membeli musik original di iTunes atau platform resmi lainnya.