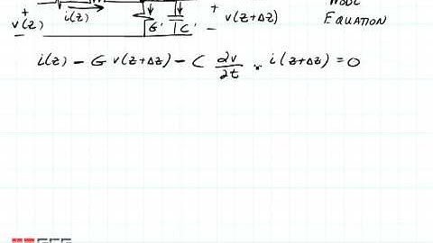
For the circuit shown below: In terms of Vo, R1, R2, R3, R4, C1, t, what is the time domain equatio…

Tonton & Download Video Musik Gratis

⬇ DOWNLOAD NOW
Kalau muncul iklan pop-up, tutup lalu klik tombol kembali

Download lagu For the circuit shown below: In terms of Vo, R1, R2, R3, R4, C1, t, what is the time domain equatio… secara gratis hanya untuk keperluan promosi. Dukung artis favorit kamu dengan membeli musik original di iTunes atau platform resmi lainnya.