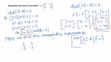
The 4 Ways to Tell if a Matrix is Diagonalizable [Passing Linear Algebra]

Tonton & Download Video Musik Gratis

⬇ DOWNLOAD NOW
Kalau muncul iklan pop-up, tutup lalu klik tombol kembali

Download lagu The 4 Ways to Tell if a Matrix is Diagonalizable [Passing Linear Algebra] secara gratis hanya untuk keperluan promosi. Dukung artis favorit kamu dengan membeli musik original di iTunes atau platform resmi lainnya.