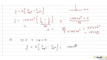
Calculate the wavelength of the photon emitted when the hydrogen atom transition from n=5 to n=3.

Tonton & Download Video Musik Gratis

⬇ DOWNLOAD NOW
Kalau muncul iklan pop-up, tutup lalu klik tombol kembali

Download lagu Calculate the wavelength of the photon emitted when the hydrogen atom transition from n=5 to n=3. secara gratis hanya untuk keperluan promosi. Dukung artis favorit kamu dengan membeli musik original di iTunes atau platform resmi lainnya.