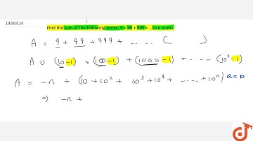
Find the sum of ltmath gt ltmi gtn lt/mi gt lt/math gt terms of an A.P. whose kth terms is

Tonton & Download Video Musik Gratis

⬇ DOWNLOAD NOW
Kalau muncul iklan pop-up, tutup lalu klik tombol kembali

Download lagu Find the sum of ltmath gt ltmi gtn lt/mi gt lt/math gt terms of an A.P. whose kth terms is secara gratis hanya untuk keperluan promosi. Dukung artis favorit kamu dengan membeli musik original di iTunes atau platform resmi lainnya.