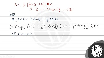
यदि किसी समांतर श्रेणी के प्रथम p. q. r पदों का योगफल क्रमशः a, b तथा हो तो सिद्ध कीजिए कि q/p(q-r)+

Tonton & Download Video Musik Gratis

⬇ DOWNLOAD NOW
Kalau muncul iklan pop-up, tutup lalu klik tombol kembali

Download lagu यदि किसी समांतर श्रेणी के प्रथम p. q. r पदों का योगफल क्रमशः a, b तथा हो तो सिद्ध कीजिए कि q/p(q-r)+ secara gratis hanya untuk keperluan promosi. Dukung artis favorit kamu dengan membeli musik original di iTunes atau platform resmi lainnya.