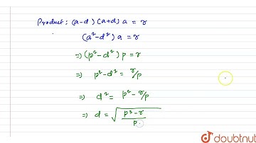
If the zeroes of the polynomial f(x) = x^3-3px^2+qx-r are in A.P., then...

Tonton & Download Video Musik Gratis

⬇ DOWNLOAD NOW
Kalau muncul iklan pop-up, tutup lalu klik tombol kembali

Download lagu If the zeroes of the polynomial f(x) = x^3-3px^2+qx-r are in A.P., then... secara gratis hanya untuk keperluan promosi. Dukung artis favorit kamu dengan membeli musik original di iTunes atau platform resmi lainnya.