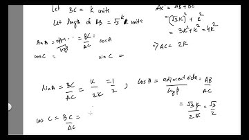
trigonometry exercise 8.1 solution question 9 I In triangle ABC, right-angled at B, if tan A = 1/3

Tonton & Download Video Musik Gratis

⬇ DOWNLOAD NOW
Kalau muncul iklan pop-up, tutup lalu klik tombol kembali

Download lagu trigonometry exercise 8.1 solution question 9 I In triangle ABC, right-angled at B, if tan A = 1/3 secara gratis hanya untuk keperluan promosi. Dukung artis favorit kamu dengan membeli musik original di iTunes atau platform resmi lainnya.