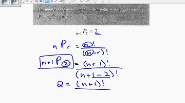
LG08 Lesson 4a Using the FCP to solve a Permutation Problem distict objects

Tonton & Download Video Musik Gratis

⬇ DOWNLOAD NOW
Kalau muncul iklan pop-up, tutup lalu klik tombol kembali

Download lagu LG08 Lesson 4a Using the FCP to solve a Permutation Problem distict objects secara gratis hanya untuk keperluan promosi. Dukung artis favorit kamu dengan membeli musik original di iTunes atau platform resmi lainnya.