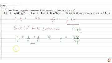
If b is the harmonic mean of a and c and `alpha ,beta` are the roots of the equation `a(b-c)x^...

Tonton & Download Video Musik Gratis

⬇ DOWNLOAD NOW
Kalau muncul iklan pop-up, tutup lalu klik tombol kembali

Download lagu If b is the harmonic mean of a and c and `alpha ,beta` are the roots of the equation `a(b-c)x^... secara gratis hanya untuk keperluan promosi. Dukung artis favorit kamu dengan membeli musik original di iTunes atau platform resmi lainnya.