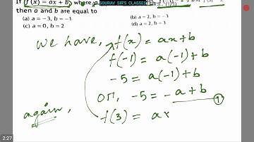
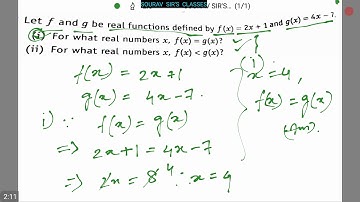
GRAPHS AND TRANSLATIONS,SLOPES AND CURVATURES MATHEMATICS ISI,DSE,JNU,CMI,IGIDR

Tonton & Download Video Musik Gratis

⬇ DOWNLOAD NOW
Kalau muncul iklan pop-up, tutup lalu klik tombol kembali

Download lagu GRAPHS AND TRANSLATIONS,SLOPES AND CURVATURES MATHEMATICS ISI,DSE,JNU,CMI,IGIDR secara gratis hanya untuk keperluan promosi. Dukung artis favorit kamu dengan membeli musik original di iTunes atau platform resmi lainnya.