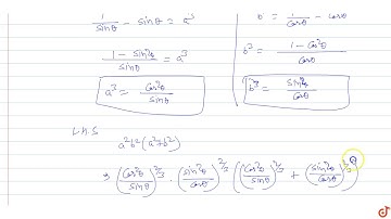
If cosec θ-sin θ = a3 and sec θ-cos θ = b3 , prove that a2b2(a2+b2) = 1.

Tonton & Download Video Musik Gratis

⬇ DOWNLOAD NOW
Kalau muncul iklan pop-up, tutup lalu klik tombol kembali

Download lagu If cosec θ-sin θ = a3 and sec θ-cos θ = b3 , prove that a2b2(a2+b2) = 1. secara gratis hanya untuk keperluan promosi. Dukung artis favorit kamu dengan membeli musik original di iTunes atau platform resmi lainnya.