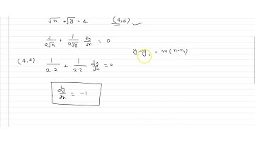
If the sum of the squares of the intercepts on the axes cut off by the tangents to the curve x1/....

Tonton & Download Video Musik Gratis

⬇ DOWNLOAD NOW
Kalau muncul iklan pop-up, tutup lalu klik tombol kembali

Download lagu If the sum of the squares of the intercepts on the axes cut off by the tangents to the curve x1/.... secara gratis hanya untuk keperluan promosi. Dukung artis favorit kamu dengan membeli musik original di iTunes atau platform resmi lainnya.