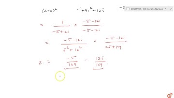
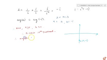
If `z=(1+2i)/(1-(1-i)^2), t h e n\ arg(z)` equals a. `0` b. `pi/2` c. `pi` d. none of these

Tonton & Download Video Musik Gratis

⬇ DOWNLOAD NOW
Kalau muncul iklan pop-up, tutup lalu klik tombol kembali

Download lagu If `z=(1+2i)/(1-(1-i)^2), t h e n\ arg(z)` equals a. `0` b. `pi/2` c. `pi` d. none of these secara gratis hanya untuk keperluan promosi. Dukung artis favorit kamu dengan membeli musik original di iTunes atau platform resmi lainnya.