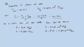
Tube problem using HMT data book HMT Problems : Basic Heat and Mass Transfer lectures

Tonton & Download Video Musik Gratis

⬇ DOWNLOAD NOW
Kalau muncul iklan pop-up, tutup lalu klik tombol kembali

Download lagu Tube problem using HMT data book HMT Problems : Basic Heat and Mass Transfer lectures secara gratis hanya untuk keperluan promosi. Dukung artis favorit kamu dengan membeli musik original di iTunes atau platform resmi lainnya.