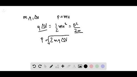
What are matter waves ? A particle of mass m and charge q is accelerated from rest through V potenti

Tonton & Download Video Musik Gratis

⬇ DOWNLOAD NOW
Kalau muncul iklan pop-up, tutup lalu klik tombol kembali

Download lagu What are matter waves ? A particle of mass m and charge q is accelerated from rest through V potenti secara gratis hanya untuk keperluan promosi. Dukung artis favorit kamu dengan membeli musik original di iTunes atau platform resmi lainnya.