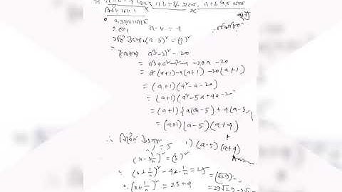
Class 9 General Math Assignment - 2 | নবম শ্রেণি সাধারণ গণিত এ্যাসাইনমেন্ট - ২ | ৪র্থ সপ্তাহ-২য় পর্ব

Tonton & Download Video Musik Gratis

⬇ DOWNLOAD NOW
Kalau muncul iklan pop-up, tutup lalu klik tombol kembali

Download lagu Class 9 General Math Assignment - 2 | নবম শ্রেণি সাধারণ গণিত এ্যাসাইনমেন্ট - ২ | ৪র্থ সপ্তাহ-২য় পর্ব secara gratis hanya untuk keperluan promosi. Dukung artis favorit kamu dengan membeli musik original di iTunes atau platform resmi lainnya.