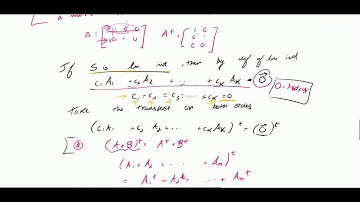
Prove the Functions e^(ax) and e^(bx) are Linearly Independent (Direct Proof Example)

Tonton & Download Video Musik Gratis

⬇ DOWNLOAD NOW
Kalau muncul iklan pop-up, tutup lalu klik tombol kembali

Download lagu Prove the Functions e^(ax) and e^(bx) are Linearly Independent (Direct Proof Example) secara gratis hanya untuk keperluan promosi. Dukung artis favorit kamu dengan membeli musik original di iTunes atau platform resmi lainnya.