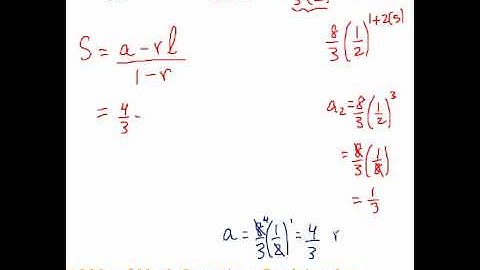
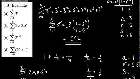
Edexcel A Level Maths 2019, Paper 2 Question 8 - Sigma Notation, Geometric Series, Logarithms

Tonton & Download Video Musik Gratis

⬇ DOWNLOAD NOW
Kalau muncul iklan pop-up, tutup lalu klik tombol kembali

Download lagu Edexcel A Level Maths 2019, Paper 2 Question 8 - Sigma Notation, Geometric Series, Logarithms secara gratis hanya untuk keperluan promosi. Dukung artis favorit kamu dengan membeli musik original di iTunes atau platform resmi lainnya.