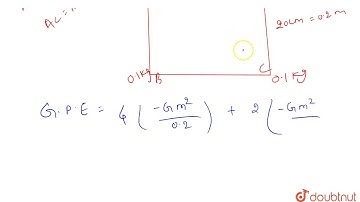
Find the work done to bring 4 particles each of mass 100 gram from large distances to the vertic...

Tonton & Download Video Musik Gratis

⬇ DOWNLOAD NOW
Kalau muncul iklan pop-up, tutup lalu klik tombol kembali

Download lagu Find the work done to bring 4 particles each of mass 100 gram from large distances to the vertic... secara gratis hanya untuk keperluan promosi. Dukung artis favorit kamu dengan membeli musik original di iTunes atau platform resmi lainnya.