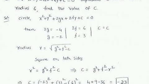
IF X2+Y2-4X+6Y+C=0 REPRESENT A CIRCLE OF RADIUS 6 THEN FIND C?

Tonton & Download Video Musik Gratis

⬇ DOWNLOAD NOW
Kalau muncul iklan pop-up, tutup lalu klik tombol kembali

Download lagu IF X2+Y2-4X+6Y+C=0 REPRESENT A CIRCLE OF RADIUS 6 THEN FIND C? secara gratis hanya untuk keperluan promosi. Dukung artis favorit kamu dengan membeli musik original di iTunes atau platform resmi lainnya.