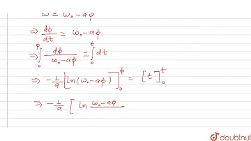
A solid body starts rotating about a stationary axis with an angular acceleration alpha=(2.0xx10...

Tonton & Download Video Musik Gratis

⬇ DOWNLOAD NOW
Kalau muncul iklan pop-up, tutup lalu klik tombol kembali

Download lagu A solid body starts rotating about a stationary axis with an angular acceleration alpha=(2.0xx10... secara gratis hanya untuk keperluan promosi. Dukung artis favorit kamu dengan membeli musik original di iTunes atau platform resmi lainnya.