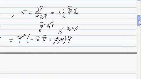
Quantum Mechanics - Field Quantization : Classical Field Equations : Lagrangian Formulation - 2

Tonton & Download Video Musik Gratis

⬇ DOWNLOAD NOW
Kalau muncul iklan pop-up, tutup lalu klik tombol kembali

Download lagu Quantum Mechanics - Field Quantization : Classical Field Equations : Lagrangian Formulation - 2 secara gratis hanya untuk keperluan promosi. Dukung artis favorit kamu dengan membeli musik original di iTunes atau platform resmi lainnya.