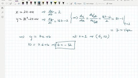
Eric's Calculus Lecture: Find the equation of the 2 tangent lines to f(x), given a point

Tonton & Download Video Musik Gratis

⬇ DOWNLOAD NOW
Kalau muncul iklan pop-up, tutup lalu klik tombol kembali

Download lagu Eric's Calculus Lecture: Find the equation of the 2 tangent lines to f(x), given a point secara gratis hanya untuk keperluan promosi. Dukung artis favorit kamu dengan membeli musik original di iTunes atau platform resmi lainnya.