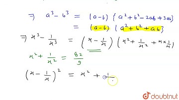
If x² + 1/x² = 82/9 so find value of x³ - 1/x³

Tonton & Download Video Musik Gratis

⬇ DOWNLOAD NOW
Kalau muncul iklan pop-up, tutup lalu klik tombol kembali

Download lagu If x² + 1/x² = 82/9 so find value of x³ - 1/x³ secara gratis hanya untuk keperluan promosi. Dukung artis favorit kamu dengan membeli musik original di iTunes atau platform resmi lainnya.