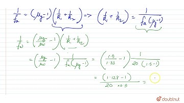
A convex lens of refractive index \( 1.5 \) has focal length \( 20 ...

Tonton & Download Video Musik Gratis

⬇ DOWNLOAD NOW
Kalau muncul iklan pop-up, tutup lalu klik tombol kembali

Download lagu A convex lens of refractive index \( 1.5 \) has focal length \( 20 ... secara gratis hanya untuk keperluan promosi. Dukung artis favorit kamu dengan membeli musik original di iTunes atau platform resmi lainnya.