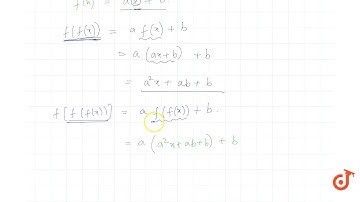
A polynomial function `f(x)` satisfies the condition `f(x+1)=f(x) + 2x + 1`. Find `f(x)` if

Tonton & Download Video Musik Gratis

⬇ DOWNLOAD NOW
Kalau muncul iklan pop-up, tutup lalu klik tombol kembali

Download lagu A polynomial function `f(x)` satisfies the condition `f(x+1)=f(x) + 2x + 1`. Find `f(x)` if secara gratis hanya untuk keperluan promosi. Dukung artis favorit kamu dengan membeli musik original di iTunes atau platform resmi lainnya.